雅思官方放出了北京地区八月的机考考位!几乎每天都有,而且小编亲自查看,大多数场次均有名额,就问你香不香!

除了机考之外,8月8日北京的线下纸笔雅思考试也可以报名了!!!

同时全国天津 山东 辽宁 湖北 广东
也都放出考位啦!
8月天津:

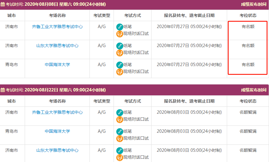
8月山东:

8月辽宁:

8月湖北:

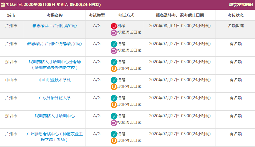
8月广东:

烤鸭们冲鸭!
距离全国雅思复考,真的不远了!
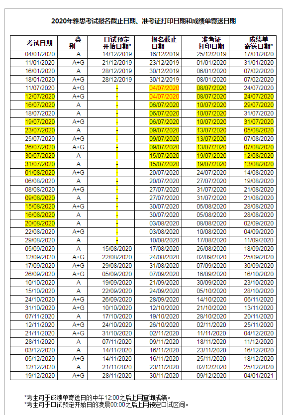
另外,早前官网还发布了最新版的《2020年雅思考试报名截止日期、准考证打印日期和成绩单寄送日期》

相比之前,增加了8月22日考试
还有《2020年用于英国签证及移民的雅思考试口试预定开始日期、 考试报名截止日期、准考证打印日期和成绩单寄送日期》:

相比之前,增加了8月20日考试
目前雅思考试逐渐步入正轨,大家的备考节奏也理所当然应该加快啦!各位小烤鸭们要赶紧调整好心态,做好自己的备考计划和留学安排哦。后续官网信息也会持续关注,在第一时间给大家带来最新的消息。
牛学暑期班现已全面开启
雅思/托福精品班,VIP线下复课
雅思封闭班稳定出分7.0
PTE8炸全科速成班
多邻国全科冲刺快速分手

限时福利开启
承包你的愿望清单
戴森吹风机、飞利浦电动牙刷、SK-II套盒
LAMER、纪梵希散粉......
你的七夕礼物牛学提前为你承包

扫描下方二维码
加牛学小助手

回复【暑假班】了解详情


